山东泰和科技股份有限公司

AA/AMPS
丙烯酸-2-丙烯酰胺-2-甲基丙磺酸共聚物

联系我们
联系电话:0632-5113088
外贸电话:0632-5113066
公司传真:0632-5113155
公司地址:山东省枣庄市市中区水处理剂产业园(十里泉东路1号)
E-Mail :th@thwater.com 
产品说明

丙烯酸-2-丙烯酰胺-2-甲基丙磺酸共聚物 AA/AMPS

Acrylic Acid-2-Acrylamido-2-Methylpropane Sulfonic Acid Copolymer (AA/AMPS)

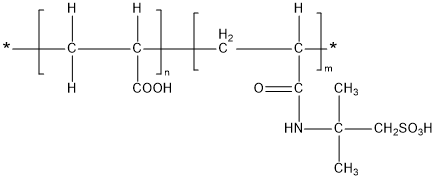
结构式

丙烯酸-2-丙烯酰胺-2-甲基丙磺酸共聚物(AA/AMPS)结构式

一、性能与用途

AA/AMPS为丙烯酸与2-丙烯酰胺-2-甲基丙磺酸(AMPS)共聚而成。由于分子结构中含有阻垢分散性能好的羧酸基和强极性的磺酸基,能提高钙容忍度,对水中的磷酸钙、碳酸钙、锌垢等有显著的阻垢作用,防止氧化铁的沉积,尤其对磷酸钙阻垢率高。并且分散性能优良。与有机膦复配,增效作用明显。特别适合高pH、高碱度、高硬度的水质,是实现高浓缩倍数运行的理想的阻垢分散剂之一。

AA/AMPS还可用作纺织印染助剂;造纸系统纸浆的阻垢剂。

二、技术指标

项  目 指  标
HG/T 3642-2016 --
外 观   无色至黄色粘稠液体 无色至淡黄色粘稠液体
固体含量/% ≥30.0 ≥40.0
pH值(1%水溶液) ≤2.5   3.5~4.5
密度(20℃)/g·cm-3 ≥1.05 ≥1.15
游离单体(以AA计)/% ≤0.2 ≤0.50
极限粘数(30℃)/dl·g-1 0.055~0.100 --

三、使用方法

AA/AMPS可与有机膦酸盐、锌盐复合使用,适于pH条件为7.0~9.5。

四、包装与贮存

AA/AMPS为塑料桶包装,每桶25kg、200 kg或250 kg,也可根据用户要求确定。AA/AMPS贮存期为十二个月。

五、安全与防护

AA/AMPS为酸性,操作时注意劳动保护,应避免与皮肤、眼睛等接触,接触后用大量清水冲洗。